27days until NEET 2026Every question counts. ✊
⚡
Did you know?
A bolt of lightning heats the surrounding air to ~30,000 K — five times hotter than the Sun's surface.
Did you know?
A bolt of lightning heats the surrounding air to ~30,000 K — five times hotter than the Sun's surface.
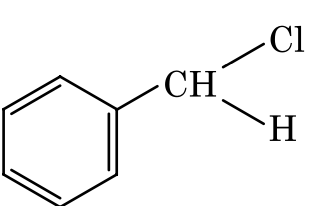
The intermediate compound ‘X’ in the following chemical reaction is:





To solve this problem, we need to identify the intermediate compound 'X' in the given reaction.The reaction involves the oxidation of toluene using CrOCl in
More practice, more score
Use hints to get start solving
Ask any question, get instant answers
Get detailed step by step solutions
Read while solving
Improve every day