27days until NEET 2026Every question counts. â
đŚ
Did you know?
You have more bacterial cells than human cells â ~38 trillion bacteria vs ~30 trillion human cells.
Did you know?
You have more bacterial cells than human cells â ~38 trillion bacteria vs ~30 trillion human cells.
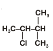
An alkene on reaction with and ZnâH gives propanone and ethanal in equimolar ratio. Addition of to alkene gives as the major product. The structure of product is:




To solve this problem, we need to determine the structure of alkene and the major product Step 1: Identify the alkene The ozonolysis of alkene gives propanone and ethanal in equimolar ratio.The structure of propanone is
More practice, more score
Use hints to get start solving
Ask any question, get instant answers
Get detailed step by step solutions
Read while solving
Improve every day