27days until NEET 2026Every question counts. ā
š
Did you know?
Sound travels ~4Ć faster in water than in air ā about 1,480 m/s vs 343 m/s.
Did you know?
Sound travels ~4Ć faster in water than in air ā about 1,480 m/s vs 343 m/s.
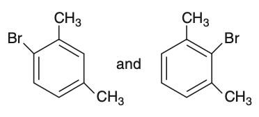
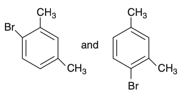
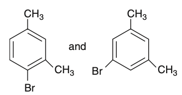
What products are formed when the following compound is treated with Br in the presence of FeBr?





To solve this problem, we need to understand the reaction of the given compound with Br in the presence of FeBrThe compound shown is 1,2-dimethylbenzene (o-xylene). When treated with Br
More practice, more score
Use hints to get start solving
Ask any question, get instant answers
Get detailed step by step solutions
Read while solving
Improve every day