Did you know?
Your heart beats ~100,000 times a day — roughly 3 billion beats in a lifetime.
Did you know?
Your heart beats ~100,000 times a day — roughly 3 billion beats in a lifetime.
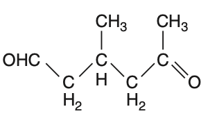
A single compound of the structure is obtainable from ozonolysis of which of the following cyclic compounds?





To solve this problem, we need to determine which cyclic compound undergoes ozonolysis to give the given compound.The given compound is:• An aldehyde and a ketone are formed, indicating a specific cleavage pattern.Ozonolysis of alkenes results in the cleavage of the double bond, forming carbonyl compounds.Let's analyze each option:Option 1:• The compound is a cyclopentene with two methyl groups on adjacent carbons.
More practice, more score
Use hints to get start solving
Ask any question, get instant answers
Get detailed step by step solutions
Read while solving
Improve every day