27days until NEET 2026Every question counts. ✊
⚗️
Did you know?
One mole contains 6.022 × 10²³ particles — if a mole of seconds passed, it'd be 19 quadrillion years.
Did you know?
One mole contains 6.022 × 10²³ particles — if a mole of seconds passed, it'd be 19 quadrillion years.
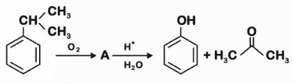
The structure of intermediate A in the following reaction is:





To solve this problem, we need to identify the intermediate A in the given reaction.The reaction involves the oxidation of an isopropyl benzene (cumene) to form phenol and acetone.This is a classic example of the cumene process, which involves the following steps:1. Oxidation of cumene:• Cumene reacts with
More practice, more score
Use hints to get start solving
Ask any question, get instant answers
Get detailed step by step solutions
Read while solving
Improve every day