Did you know?
Sound travels ~4Ć faster in water than in air ā about 1,480 m/s vs 343 m/s.
Did you know?
Sound travels ~4Ć faster in water than in air ā about 1,480 m/s vs 343 m/s.
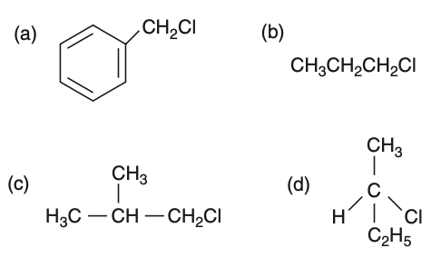
Which of the following compounds will undergo racemization when hydrolyzed with KOH?

To determine which compound undergoes racemization when hydrolyzed with KOH, we need to identify the presence of a chiral center.Racemization occurs when a chiral center is converted into a racemic mixture, typically through an mechanism.Let's analyze each compound:(a) Benzyl chloride (CHCHCl):⢠The carbon attached to Cl is not chiral (no four different groups).⢠Does not undergo racemization.(b) 1-Chloropropane (CHCHCHCl):⢠The carbon attached to Cl is not chiral.⢠Does not undergo racemization.(c) 2-Chlorobutane:⢠The carbon attached to Cl is chiral (attached to four different groups: CH, CHCH, H, Cl).⢠Can undergo racemization through an mechanism.(d) 2-Chloro-2-methylbutane:⢠The carbon attached to Cl is chiral (attached to four different groups: CH, CH, H, Cl).⢠Can undergo racemization through an mechanism.Conclusion:⢠Compounds (c) and (d) have chiral centers and can undergo racemization.Therefore, the correct option is (c) and (d), which corresponds to Option 3.
More practice, more score
Use hints to get start solving
Ask any question, get instant answers
Get detailed step by step solutions
Read while solving
Improve every day