Did you know?
A single strand of DNA, if uncoiled, would be ~6 feet long — yet it fits inside a cell nucleus.
Did you know?
A single strand of DNA, if uncoiled, would be ~6 feet long — yet it fits inside a cell nucleus.
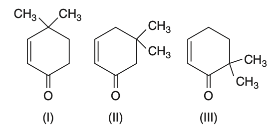
Which of the given compounds can exhibit tautomerism?

I and III
II and III
I, II and III
I and II
To determine which compounds can exhibit tautomerism, we need to identify the presence of -hydrogens adjacent to a carbonyl group.Tautomerism typically involves keto-enol tautomerism, where a hydrogen atom moves from an -carbon to the oxygen of the carbonyl group, forming an enol.Let's analyze each compound:• Compound (I):The structure has a carbonyl group and two methyl groups attached to the -carbon.There are no -hydrogens available for tautomerism.• Compound (II):The structure has a carbonyl group and one methyl group attached to the -carbon.There is one -hydrogen available, allowing for tautomerism.• Compound (III):The structure has a carbonyl group and one methyl group attached to the -carbon.There is one -hydrogen available, allowing for tautomerism.Based on the analysis, compounds (II) and (III) can exhibit tautomerism.Therefore, the correct option is II and III.This corresponds to Option 4.
More practice, more score
Use hints to get start solving
Ask any question, get instant answers
Get detailed step by step solutions
Read while solving
Improve every day