Did you know?
A bolt of lightning heats the surrounding air to ~30,000 K — five times hotter than the Sun's surface.
Did you know?
A bolt of lightning heats the surrounding air to ~30,000 K — five times hotter than the Sun's surface.
Of the following, which is the product formed when cyclohexanone undergoes aldol condensation followed by heating?




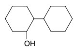
To solve this problem, we need to understand the aldol condensation of cyclohexanone.Aldol condensation involves the following steps:1. Formation of the enolate ion:• Cyclohexanone undergoes deprotonation at the alpha carbon to form an enolate ion.2. Nucleophilic attack:• The enolate ion attacks the carbonyl carbon of another cyclohexanone molecule, forming a beta-hydroxy ketone.3. Dehydration:
More practice, more score
Use hints to get start solving
Ask any question, get instant answers
Get detailed step by step solutions
Read while solving
Improve every day